*Benvenuto is a conveniently situated 37.548 Acre Residential Holding/Small Farm which stands within a mile or so of the popular village of Wolfscastle.
*The Property benefits a spacious Detached 4 Bedroom Bungalow Residence benefitting from Oil Central Heating, Double Glazing and both Cavity Wall and Loft Insulation.
*In addition, there are 2 Multipurpose Sheds 75' x 45' and 75' x 30' together with a 37.528 Acres of predominantly clean Pasture Land in excellent heart.
*Residential Holdings/Small Farms of this nature are few and far between and inspection is essential to appreciate the full extent of the accommodation in the Bungalow, the Farm Buildings and indeed the Farm Land.
Situation
Benvenuto stands alongside the Wolfscastle to Hayscastle Council Maintained District Road and is within a mile or so of the village of Wolfscastle and the Main A40 Fishguard to Haverfordwest road.
Wolfscastle being close by has the benefit of a Primary School, Chapel, Church, a Public House/Restaurant, Country House/Hotel and a Pottery.
The County and Market Town of Haverfordwest is some 8 miles or so south and has the benefit of an excellent Shopping Centre together with an extensive range of amenities and facilities including Secondary and Primary Schools, Churches, Chapels, Banks, Building Societies, Hotels, Restaurants, Public Houses, Cafes, Take-Away's, Art Galleries, a Library, Post Office, Supermarkets, Petrol Filling Stations, Repair Garages, a Further Education College, The County Council Offices and The County Hospital at Withybush.
The well known Market Town of Fishguard is some 8 miles or so north and Fishguard Harbour being close by provides a Ferry Terminal.
Directions
From Fishguard take Main A40 road south for some 7 miles and in the village of Wolfscastle take the second turning on the right (adjacent to The Wolfe Inn) in the direction of Hayscastle. Continue on this road for a mile or so and Benvenuto is the first Property on the left hand side of the road. A 'For Sale' board is erected on site.
Alternatively from Haverfordwest take the Main A40 road north for some 7 miles and in the village of Wolfscastle take the turning on the left adjacent to The Wolfe Inn signposted to Hayscastle. Follow directions as above.
Description
Benvenuto comprises a Detached single storey Bungalow residence of cavity concrete block construction with rendered and whitened roughcast elevations under a pitched slate roof. Accommodation is as follows:-
Composite Double Glazed Door to:-
N/A
Hall
Dimensions: 11.23m x 1.47m (36'10" x 4'10" ). With fitted carpet, 2 uPVC double glazed windows with vertical blinds, coved ceiling, 2 ceiling lights, radiator, smoke detector, central heating thermostat control, 1 power point, access to an Insulated Loft, 15 pane glazed door to Kitchen and door to:-
Sitting Room
Dimensions: 5.56m x 4.85m (18'3" x 15'11"). With an Amtico Oak floor, uPVC double glazed patio door to garden, coved ceiling, ceiling light, Marble fireplace with oak surround housing a coal effect electric fire, coved ceiling, ceiling light, 2 wall lights, TV point, 4 power points and 15 pane glazed double doors to:-
Kitchen/Breakfast Room
Dimensions: 6.32m x 4.06m (20'9" x 13'4" ). With ceramic tile floor, range of fitted Oak floor and wall cupboards, inset single drainer one and a half bowl silk quartz sink unit with mixer tap. pine tongue and groove clad ceiling, 2 strip lights, built in Zanussi eye level electric Double Oven, Zanussi 4 ring Ceramic Hob, Cooker Hood, built in Zanussi refrigerator, built in Siemens dishwasher, uPVC double glazed window with vertical blinds, part tile surround, TV aerial cable, ample power points, door to Utility Room and archway to:-
Dining Room
Dimensions: 6.32m x 3.96m (20'9" x 13'0" ). With an Amtico Oak floor, 3 uPVC double glazed windows (2 affording rural views) double panelled radiator, cove and artex ceiling, 2 ceiling lights, telephone point, radiator and 4 power points.
Utility Room
Dimensions: 6.32m x 2.87m (20'9" x 9'5"). With ceramic tile floor, Worcester freestanding Oil Combination Boiler (heating domestic hot water and firing central heating), composite double glazed door to exterior, floor cupboards, single drainer stainless steel sink unit with hot and cold, worktop, coved ceiling, strip light, plumbing for automatic washing machine, electricity consumer unit, coat hooks, power points and door to:-
Separate WC
Dimensions: 2.51m x 1.04m (8'3" x 3'5" ). With ceramic tile floor, half tiled walls, suite of Wash Hand Basin and WC, coved ceiling, ceiling light, uPVC double glazed window, toilet roll holder, towel ring and radiator.
Bedroom 1
Dimensions: 4.75m x 3.99m (15'7" x 13'1"). With fitted carpet, 2 uPVC double glazed windows, coved ceiling, ceiling light, radiator, 4 power points and door to:-
Ensuite Shower Room
With vinyl floor covering, half tiled walls, radiator, uPVC double glazed window with vertical blinds, coved ceiling, ceiling light, extractor fan, suite of Wash Hand Basin in a vanity surround, WC and a glazed and tile Shower Cubicle with a thermostatic shower, toilet roll holder and a mirror fronted bathroom cabinet.
Bedroom 2
Dimensions: 4.75m x 3.99m (15'7" x 13'1" ). With fitted carpet, uPVC double glazed window, radiator, coved ceiling, ceiling light and 2 power points.
Inner Hall
Dimensions: 3.89m x 0.99m (12'9" x 3'3" ). With fitted carpet, coved ceiling, ceiling light and a smoke detector (not tested).
Bathroom
Dimensions: 2.79m x 2.62m (9'2" x 8'7" ). With vinyl floor covering, white suite of pine panelled Bath, Wash Hand Basin and WC, half tiled walls, coved ceiling, ceiling light, mirror fronted bathroom cabinet, Manrose extractor fan, glass shelf and radiator.
Walk in Airing Cupboard
Dimensions: 2.41m x 1.50m (7'11" x 4'11"). With fitted carpet, fitted shelves, radiator and ceiling light.
Bedroom 3
Dimensions: 3.99m x 3.05m maximum (13'1" x 10'0" maximum). With fitted carpet, 2 uPVC double glazed windows, coved ceiling, ceiling light, radiator, TV point and 4 power points.
Bedroom 4
Dimensions: 4.01m x 3.07m maximum (13'2" x 10'1" maximum ). With fitted carpet, radiator, 2 uPVC double glazed windows, coved ceiling, ceiling light, TV point and 4 power points.
Externally
Directly to the fore of the Property is a large Paved Patio and beyond is a Chipping Hardstanding which allows for ample Vehicle Parking and Turning Space. There is a Block Pavior hardstanding to the side and rear of the Property which allows for additional vehicle parking and directly to the rear is a good sized level Lawned Garden with a raised Flower and Shrub Border with Conifers, Hydrangeas and Flowering Shrubs. There is a concrete and paved path surround to the Property and adjacent to the southern gable end is a raised Vegetable Garden together with an Aluminium Greenhouse 8'0" x 6'0".
Oil Tank.
2 Outside Water Taps and 4 Outside Electric Lights (1 Solar Light). There is also a Flood Light attached to the Multipurpose Shed.
Within close proximity of the Bungalow are a range of Outbuildings as follows:-
Multipurpose Shed
Dimensions: 22.86m x 13.72m (75'0" x 45'0" ). Of steel stanchion construction with 6'0" high shuttered concrete walls with box profile cladding and a corrugated cement fibre roof. It has double sliding doors, electric light and power points.
Adjoining is an:-
Implement/Store Shed
Dimensions: 22.86m x 9.14m (75'0" x 30'0" ). Of steel stanchion construction with a 6'0" high shuttered concrete dividing wall and low concrete perimeter walls together with box profile cladding and a corrugated cement fibre roof.
Adjacent to the Sheds is a Concrete Hardstanding/Feeding Yard together with a 7,000 Gallon Underground Slurry/Dirty Water Store.
The Land in total extends to 37.548 Acres or thereabouts of which there is approximately 36.50 Acres of predominantly clean Pasture Land which includes 4 Acres or thereabouts of sloping Pasture Land which is bounded by a small river which is known as Nant-y-Coi Brook. The Land also benefits from a mains (metered) water supply and is all sheep fenced.
The boundaries of the entire Property are edged in red on the attached Plan to the Scale of 1/5000.
There is also a Big Bale Compound.
Services
Mains Water (metered supply) and Electricity are connected. Septic Tank Drainage. Cavity Wall and Loft Insulation. Oil Central Heating. uPVC Double Glazed Windows and Patio Door. 2 Composite Double Glazed Entrance Doors. Telephone, subject to British Telecom Regulations.
Tenure
Freehold with Vacant Possession upon Completion.
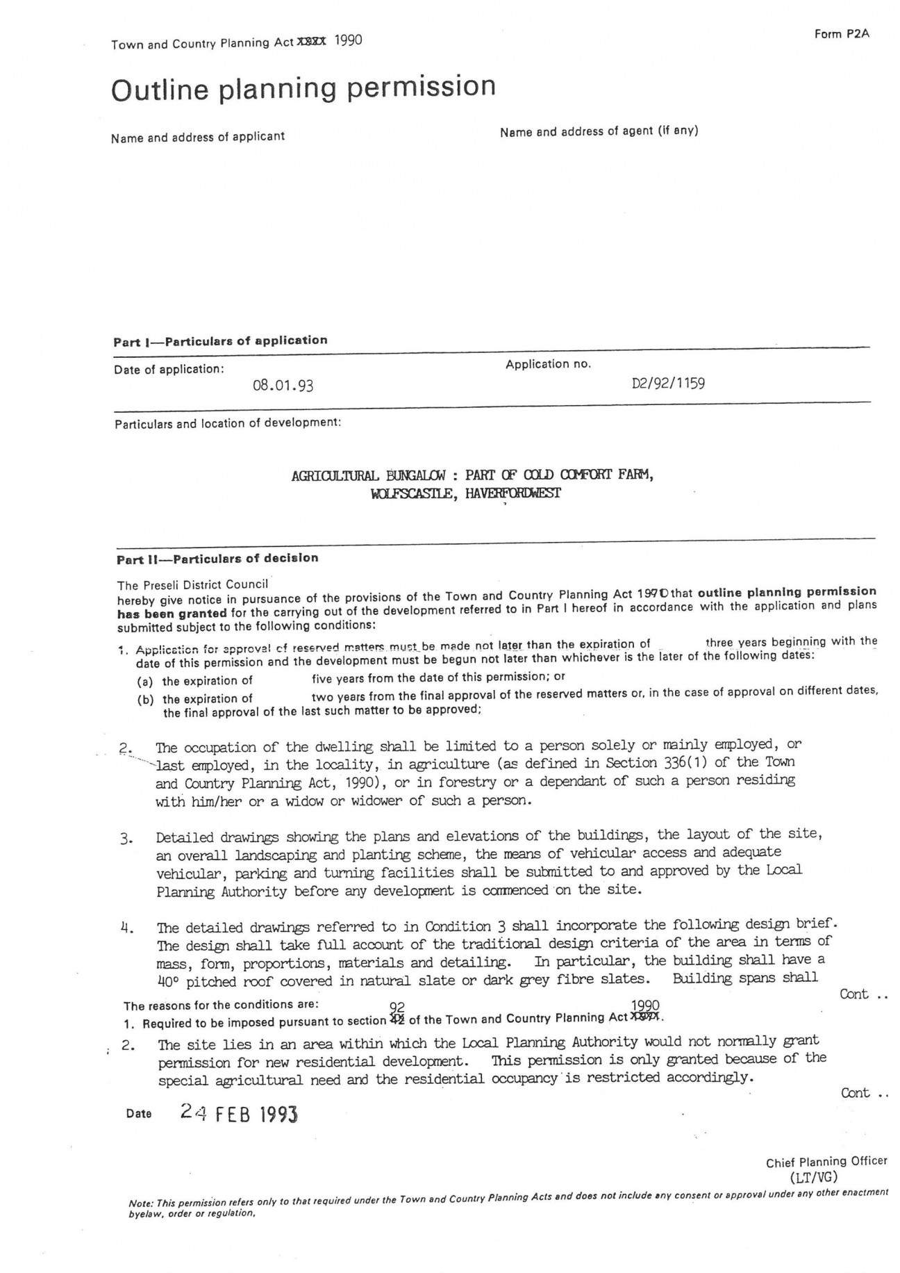
Planning
Planning Consent for Benvenuto was originally granted as an Agricultural Dwelling -Planning Consent reference D2/92/1159. However, Planning for the original Agricultural Dwelling has now been replaced with Full Residential Planning on the basis that Benvenuto was not built in the correct position under reserved matters D2/95/731 (Outline D2/92/1159) 4 year rule. Also, there has been a breach of occupancy for 10 years where non-compliance of condition 2 of D2/92/1159 and is unenforceable and void - Benvenuto, Wolfscastle, Haverfordwest, Pembrokeshire SA62 5PA. On that basis, there is no longer an Agricultural Restriction attached to the Property. Copies of the Pembrokeshire County Council Delegated Decision Report Reference 25/0683/CL are available upon request.
Remarks
Benvenuto is a delightful and conveniently situated 37.50 Acre Residential Holding/Small Farm which stands within a mile or so of the Main A40 Fishguard to Haverfordwest road. It benefits a spacious Detached 4 bedroom Bungalow residence together with a useful range of Modern Outbuildings and some 37.548 Acres or thereabouts of predominantly clean gently sloping Pasture Land. Residential Holdings/Small Farms of this nature rarely appear on the open market and the opportunity to purchase should not be missed. Early inspection is strongly advised. Realistically Priced.
The Woodland concerned is situated within a few hundred yards or so of the hamlet of Welsh Hook and comprises of 3.10 Acres or thereabouts of sloping and level lying Deciduous Woodland which slopes in a northerly directi...
Beautifully presented three-bedroom detached bungalow situated in the highly sought-after and peaceful village of CrundaleImmaculately maintained throughout and offered in true turnkey condition by the current ownersBrig...